四探针法在半导体制造中应用 | 同时测定钌薄膜的电阻温度系数与热边界电导
电阻温度系数定义了材料电阻率随温度升高的分数变化量。对于大多数金属而言,该系数为正值,意味着器件通电后会产生不希望的自发热。因此,在电子器件的设计与生产中,必须对这一参数加以考量,以避免效率、性能和可靠性的损失。传统测量方法需要在多个稳态温度点逐一记录电阻值,再通过线性拟合确定斜率,过程耗时且通常需要额外的样品制备步骤(如使用导电银漆改善电接触)。在实际研发与生产中,Xfilm埃利四探针方阻仪基于四探针原理,能够快速获取薄膜方阻信息,为电阻温度系数的精确评估提供可靠的基础数据支撑。
四探针测量理论模型
微四探针测量通过在样品表面两个电极间施加角频率为ω的交流电流,利用另外两个电极探测电位差。电流产生的焦耳热使探针附近局部温度以2ω的频率升高,进而引起局部方阻的变化。对于小温度变化,方阻可近似表示为RS(r) = RS,0[1 + αTCR·ΔT(r)],其中RS,0为参考温度下的方阻。由此产生的四探针电压包含基波和三次谐波分量,其中三次谐波电阻R3ω与αTCR直接相关。相比在两个不同电流下测量电阻差值的方法,直接测量R3ω在弱信号条件下更具优势,这对于以硅为衬底的样品尤为重要。
此前的研究已在熔融石英衬底上实现了铂薄膜的αTCR测量,但这类衬底与半导体行业广泛使用的标准硅衬底并不一致。实际工艺中,金属薄膜通常沉积在硅片上生长的薄SiO₂层(小于500 nm)上。由于硅衬底的高热导率会削弱所有与温度相关的信号,且SiO₂层的存在增加了分析模型的复杂度,这类结构的测量面临相当大的挑战。本研究采用有限元法替代半解析模型,对钌薄膜/SiO₂/Si衬底多层结构的电学和热学响应进行模拟,通过在不同电极间距和配置下进行多次测量,同时拟合出αTCR和薄膜与衬底之间的总热边界电导。在数据拟合中,有限元模拟进一步采用直流电流以缩短计算时间,每次模拟提供四探针电阻RDC和零电流电阻RDC,0。

实验与结果
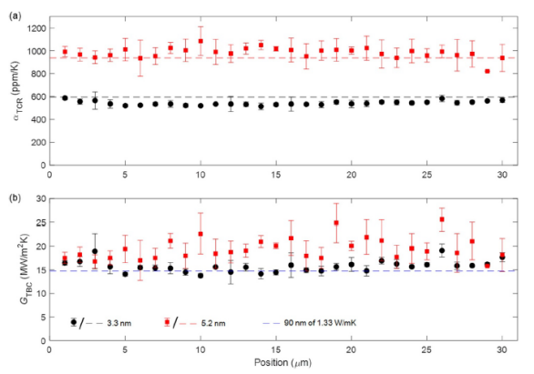
实验选用两种厚度的钌薄膜(3.3 nm和5.2 nm),通过原子层沉积制备于90 nm厚的SiO₂/Si衬底上,钌薄膜下方有一层TiN粘附层。微四探针配备八个等距共线电极,间距4 μm,可在每次接触时同时完成4 μm和8 μm两种间距的测量。测量采用A′和A两种配置以抑制热电效应的干扰,电流幅值从2 mA逐步增加至5 mA。R3ω与电流平方之间表现出良好的线性关系,且该线性关系在四种间距与配置的组合下均可由单一组(αTCR, GTBC)参数很好地复现。
对3.3 nm钌薄膜,30次独立测量的αTCR均值为542 ± 18 ppm/K,GTBC为15.6 ± 1.3 MW/(m²·K);对5.2 nm钌薄膜,αTCR为982 ± 46 ppm/K,GTBC为19.3 ± 2.3 MW/(m²·K)。较薄薄膜的αTCR较低,可归因于薄膜表面的额外散射过程——温度升高时电子平均自由程减小,表面散射相对于声子散射的贡献随之降低。3.3 nm钌薄膜的αTCR均值比PPMS参考值低约9%,这可能是由于PPMS测量中使用银漆导致电阻值被高估所致。5.2 nm钌薄膜的αTCR均值比参考值高约5%,但约三分之二的测量结果在考虑拟合不确定度后与PPMS值重叠。

灵敏度分析
蒙特卡洛模拟表明,αTCR的拟合标准偏差约为1.1%,GTBC约为2.3%,说明该方法对αTCR的灵敏度显著高于GTBC,与实验数据一致。3.3 nm钌薄膜的GTBC均值对应SiO₂热导率为1.40 ± 0.12 W/(m·K),与文献报道的薄膜SiO₂本征热导率1.33 W/(m·K)吻合良好,表明界面热阻的影响可以忽略。5.2 nm钌薄膜得出的SiO₂热导率为1.74 ± 0.21 W/(m·K),高于预期值,原因可能是电极接触半径的校准偏差对较厚薄膜的影响更大,因为较厚薄膜的方阻更低,校准测量的权重也更大。两个参数的拟合不确定度在5.2 nm薄膜上也系统性偏大,这同样源于该薄膜较低的方阻所产生的更弱的三次谐波信号。
结语
本研究证明了四探针技术能够在标准硅衬底的多层堆叠结构上,同时、快速、准确地测定金属薄膜的电阻温度系数和热边界电导。该方法无需破坏样品,适用于半导体制造中的在线检测需求。对于薄膜方阻的快速表征,Xfilm埃利四探针方阻仪提供了成熟的解决方案,可与本研究方法形成互补,共同推动薄膜电阻参数的精确测量与工艺优化。
Xfilm埃利四探针方阻仪用于测量薄层电阻(方阻)或电阻率,可以对最大230mm 样品进行快速、自动的扫描, 获得样品不同位置的方阻/电阻率分布信息。

l 超高测量范围,测量1mΩ~100MΩ
l 高精密测量,动态重复性可达0.2%
l 全自动多点扫描,多种预设方案亦可自定义调节
l 快速材料表征,可自动执行校正因子计算
基于四探针法的Xfilm埃利四探针方阻仪,凭借智能化与高精度的电阻测量优势,可助力评估电阻,推动多领域的材料检测技术升级。