锂电池嵌入电极颗粒的传输线法TLM 模拟研究
在锂离子电池研发与性能评估中,精确表征材料内部的离子传输行为至关重要。Xfilm 埃利的TLM接触电阻测试仪广泛用于测量电极材料,为电池阻抗分析提供关键数据。本文系统提出了一种用于描述电池内部活性颗粒中锂离子扩散行为的传输线模型TLM。该模型通过有限体积法离散化扩散方程,构建出具有明确物理意义的等效电路,不仅能与 TLM测试仪 所获得的实验数据形成互补,更能从微观尺度揭示交流与直流工况下的电化学响应机制。
一、TLM 模型的核心物理基础
Butler-Volmer方程
研究聚焦锂离子在电池活性颗粒内的扩散与嵌入过程:前者描述锂在颗粒内部的传输规律,后者反映颗粒表面锂的电化学反应特性。模型边界条件明确:颗粒中心无锂浓度梯度(对称边界),颗粒表面满足反应通量平衡(反应边界),且采用 Butler-Volmer 方程描述表面电化学反应动力学,确保物理过程的完整性。
二、有限体积法(扩散过程的离散处理)
有限体积法和 TLM 的比较
为将连续的扩散过程转化为可计算的数值形式,研究采用有限体积法对扩散过程进行离散处理:将活性颗粒划分为若干独立控制体积,通过高斯定理将控制体积内的浓度变化率积分方程,转化为控制面的通量平衡关系,进而得到每个控制体积内锂浓度随时间变化的离散表达式。
针对边界条件,同样采用离散化处理:对称边界(颗粒中心)因无浓度梯度,仅保留相邻控制体积的通量贡献;反应边界(颗粒表面)则结合表面反应通量,补充表面与外部环境的物质交换项,确保边界条件与核心扩散过程的协同性。
三、传输线模型TLM构建
为构建 TLM 等效电路,需建立 “浓度 - 电荷 - 电压” 的物理关联:通过浓度与电荷的正比关系、电容的电压 - 电荷关系,将离散后的浓度变化方程转化为电路中的电压变化方程。随后结合基尔霍夫电流定律(电流守恒)与基尔霍夫电压定律(电压守恒),推导得到 TLM 中电阻与电容的参数定义: 每个控制体积对应一个由电阻(描述扩散阻力)和电容(描述浓度储能)组成的电路单元,最终形成完整的 TLM 等效电路,实现 “物理过程 - 电路模型” 的精准映射。
四、模型有效性验证

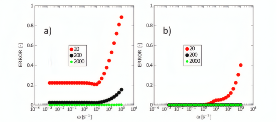
球体解析解计算得到的实部阻抗(左)和虚部阻抗(右)的误差
研究选取两种典型锂离子电池电极材料(扩散系数存在数量级差异),以球形颗粒为验证对象,对比 TLM 数值解与解析解的一致性。结果显示:在 1Hz 至 10000Hz 的宽频率范围内,两种材料的 EIS Nyquist 图(阻抗实部与虚部关系图)中,TLM 数值解与解析解完全重合,证明模型对不同扩散特性材料的适配性,且能准确反映锂传输与反应的耦合规律。
五、频率与控制体积的影响
频率分析表明:低频条件下,锂在颗粒内扩散充分,浓度分布均匀;高频条件下,锂扩散渗透深度显著减小,仅局限于颗粒表层。同时,模型相位角呈现明确规律 —— 低频时为 90°,高频时为 45°,与文献中 “反射型(不可渗透)边界” 的特征完全一致,进一步验证模型的物理合理性。
控制体积数量对模型精度影响显著:当控制体积数量为 20 时,阻抗误差较明显;增加至 200 时,阻抗实部与虚部误差已趋近于零;继续增加至 2000 时,精度提升有限。因此,200 个控制体积是兼顾精度与计算效率的最优选择,可满足工程应用需求。
六、多几何形状适配性
为拓展模型适用范围,研究将方法推广至平面、圆柱形两种常见颗粒几何形状:通过调整控制体积的面积与体积计算方式(如圆柱形颗粒控制体积需考虑径向尺寸的变化),两种几何形状的 TLM 数值解与对应解析解仍保持良好一致性,证明该 TLM 设计方法具有几何通用性,无需为不同形状重构模型核心逻辑。
本文提出了一种基于有限体积法的传输线模型TLM构建方法,用于精确描述锂离子电池中活性颗粒的锂扩散行为。该模型在保持物理一致性的同时,实现了对AC阻抗与DC浓度响应的统一描述,并在多种几何结构中验证了其有效性。通过将模型参数与TLM接触电阻测试仪等实验手段所获取的宏观阻抗数据相结合,可更有效地反推材料的关键物性参数,实现对电池性能的多尺度、全方位诊断。
Xfilm埃利TLM电阻测试仪
Xfilm埃利TLM接触电阻测试仪是可用于测量锂电池电阻的设备,广泛应用于电子元器件、导电材料、半导体、金属镀层、电池等领域。
联系电话:400 992 6602
静态测试重复性≤1%,动态测试重复性≤3%
线电阻测量精度可达5%或0.1Ω/cm
接触电阻率测试与线电阻测试随意切换
定制多种探测头进行测量和分析
通过使用Xfilm埃利TLM接触电阻测试仪进行定量测量的实验手段,可精确表征和验证理论预测电阻率。