400-992-6602
我们能帮您找到什么?

半导体欧姆接触工艺 | MoGe₂P₄实现超低接触电阻的TLM验证

二维半导体因其原子级厚度和独特电学性质,成为后摩尔时代器件的核心材料。然而,金属-半导体接触电阻成为限制器件性能的关键瓶颈。传统二维半导体(如MoS₂、黑磷)普遍存在高肖特基势垒问题,导致载流子注入效率低下。近期发现的MoGe₂P₄单层因兼具高载流子迁移率(>10³ cm² V⁻¹ s⁻¹)和适中间接带隙(0.49 eV),被视为理想沟道材料。

本文通过第一性原理计算,系统揭示MoGe₂P₄与六种金属(In、Ag、Au、Cu、Pd、Pt)的界面特性,阐明其超低接触电阻的物理机制。理论预测的超低接触电阻值,可通过高精度实验设备Xfilm埃利TLM接触电阻测试仪进行定量验证,这对材料性能评估和器件优化至关重要。  


界面构型与稳定性

(a) MoGe₂P₄单层的优化结构(俯视图与侧视图)(b) MoGe₂P₄单层的能带结构与投影态密度(c) MoGe₂P₄单层的声子色散曲线 

(a) MoGe₂P₄单层的优化结构(俯视图与侧视图)(b) MoGe₂P₄单层的能带结构与投影态密度(c) MoGe₂P₄单层的声子色散曲线

MoGe₂P₄单层MoGe₂层夹在两个Ge-P层之间构成,计算晶格常数为3.54 Å,与实验结果一致。其间接带隙为0.49 eV,导带底(CBM)和价带顶(VBM)主要源自Mo-d轨道。选取In、Ag、Au、Cu、Pd、Pt六种金属(功函数3.99-5.74 eV)作为电极,通过固定MoGe₂P₄晶格并调整金属晶格匹配,构建(1×1) MGP-In、(√3×√3) MGP-Ag/Au、(2×2) MGP-Cu/Pd/Pt超胞模型,晶格失配率为3.93%-4.90%

优化结构俯视图与侧视图:(a) MGP–In, (b) MGP–Ag, (c) MGP–Au,(d) MGP–Cu, (e) MGP–Pd, (f) MGP–Pt 

优化结构俯视图与侧视图:(a) MGP–In, (b) MGP–Ag, (c) MGP–Au,(d) MGP–Cu, (e) MGP–Pd, (f) MGP–Pt

优化后,In、Cu、Pd、Pt接触中P原子位于金属原子顶部,Ag、Au接触中P原子位于三角中心。界面距离d(P原子与金属原子间距)在MGP-Cu/Pd/Pt中更小(1.91-2.00 Å),结合能Eb更负(-1.47至-1.96 eV),表明更强界面相互作用


电子相互作用与电荷转移  

(a)-(f) MGP–金属接触的电荷密度差(Δρ)与平面平均电子密度差Δρ(z) 

(a)-(f) MGP–金属接触的电荷密度差(Δρ)与平面平均电子密度差Δρ(z)

通过电荷密度差分析,发现界面存在显著电荷重分布:P原子周围电荷积累,金属侧电荷耗尽,形成从金属指向MGP的界面偶极子。Bader电荷分析进一步量化电荷转移量,Pd/Pt/Cu体系的电荷转移(0.36–0.81 e)远超In/Ag/Au(0.08–0.19 e)。这种强相互作用诱导金属态向MGP带隙延伸,直接导致费米能级钉扎效应

(a)-(f) MGP–金属接触的投影能带结构 

(a)-(f) MGP–金属接触的投影能带结构


欧姆接触与费米能级钉扎  

(a)-(f) MGP–金属接触的投影态密度(PDOS) 

(a)-(f) MGP–金属接触的投影态密度(PDOS)

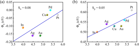
投影能带分析揭示所有接触中费米能级(E_F)均位于MGP导带内,使电子SBH(Phi_n)呈负值,证实形成n型欧姆接触。钉扎因子计算(S \approx 0.05–0.08)表明存在强费米能级钉扎,这是界面金属态钉扎E_F的结果。与弱钉扎体系(如石墨烯)相比,此特性使MoGe₂P₄对金属功函数不敏感,大幅降低电极选择难度。

(a) 电子和(b)空穴的SBH值随金属功函数的变化 

(a) 电子和(b)空穴的SBH值随金属功函数的变化


隧穿特性与接触电阻 

(a)-(f) MGP–金属接触沿z轴的有效静电势(EF为费米能级) 

(a)-(f) MGP–金属接触沿z轴的有效静电势(EF为费米能级)

MGP-Cu/Pd/Pt接触无隧穿势垒(ΦTB=0,WTB=0),隧穿概率PTB=100%MGP-In/Ag/Au的ΦTB分别为2.33 eV、1.30 eV、1.28 eV,WTB为0.98-0.58 Å,PTB为21.59%-50.46%,高于多数二维半导体1920。所有接触的隧穿特定电阻ρt较低MGP-Cu/Pd/Pt为0,MGP-In/Ag/Au为2.18×10⁻¹¹-6.27×10⁻¹¹ Ω·cm²,比MoSi₂N₄/WSi₂N₄-金属接触低两个数量级。这表明MoGe₂P₄-金属接触具有极低电阻和高效载流子注入能力。

本研究通过DFT计算系统揭示了MoGe₂P₄单层与六种金属电极的接触特性。所有接触均因强界面相互作用形成欧姆接触,其中MGP-Cu/Pd/Pt因零隧穿势垒实现100%隧穿概率MGP-In/Ag/Au的隧穿概率亦高于多数二维半导体。所有接触的隧穿特定电阻极低,表明超低接触电阻和优异性能。这些发现为设计高性能MoGe₂P₄基电子器件提供了理论依据。


Xfilm埃利TLM接触电阻测试仪

Xfilm埃利TLM接触电阻测试仪联系电话:400 992 6602 

联系电话:400 992 6602

Xfilm埃利TLM接触电阻测试仪用于测量材料表面接触电阻或电阻率的专用设备,广泛应用于电子元器件、导电材料、半导体、金属镀层、光伏电池等领域。

       ✔ 静态测试重复性≤1%动态测试重复性≤3%

✔ 线电阻测量精度可达5%或0.1Ω/cm

✔ 接触电阻率测试与线电阻测试随意切换

✔ 定制多种探测头进行测量和分析


通过使用Xfilm埃利TLM接触电阻测试仪进行定量测量实验手段进行精确表征和验证理论预测的超低接触电阻特性。

原文参考:《Ultralow Contact Resistance and Efficient Ohmic Contacts in MoGe2P4 − Metal Contacts

相关产品

×

名字 *

公司

职称

电子邮件 *

电话号码 *

城市 *

国家

请选择产品

我有兴趣接受有关以下内容的信息 *

我的留言

提交