400-992-6602
我们能帮您找到什么?

石墨烯量子霍尔态中三阶非线性霍尔效应的首次实验观测与机制解析

量子霍尔效应(QHE)是二维电子系统在强磁场下的标志性现象,其横向电阻(Rxy)呈现量子化平台(h/(νe²)),而纵向电阻(Rxx)趋于零。传统研究集中于线性响应,高阶非线性响应在量子霍尔态(QHS)中的存在性长期未被探索。

image.png 

经典与量子体系中线性霍尔效应及非线性霍尔效应的示意图

本研究基于ECOPIA霍尔效应测试仪HMS-3000的高精度测量能力,结合谐波检测技术,在单层石墨烯的QHS中首次观测到三阶非线性霍尔效应,揭示了横向电压的三次谐波平台(Vy),并提出其源于手性边缘态间的电子-电子相互作用。这一发现为拓扑物态的非线性物理研究提供了新范式。


器件制备与量子霍尔态调控

image.png 

在υ=±2的量子霍尔态内观测第三阶非线性霍尔平台

材料与结构:

采用机械剥离法获得单层石墨烯,转移至SiO₂/Si(300 nm氧化层)或六方氮化硼(hBN)基底上。

通过电子束光刻(EBL)定义霍尔棒结构,沟道宽度(W)为1–4 μm,源漏间距(L)为6–18 μm。

电极沉积:电子束蒸发Ti/Au(5 nm/65 nm),确保低接触电阻(<100 Ω)

量子霍尔态实现:

在超导磁体中施加垂直磁场(H=5–12 T),结合氦气闭循环制冷系统控制温度(T=1.7–80 K)。

通过硅背栅(Vg=−20 V至+20 V)调节载流子密度,使费米能级对准朗道能级填充因子 ν=±2。


非线性谐波测量系统

激励与检测:

施加正弦交变电流 Iω=Isinωt(频率 f = 31 Hz,幅值 I = 0.5–2.0 μA),避免QHS击穿。

使用霍尔效应测试仪结合四锁相放大器,同步测量纵向(Vx)和横向(Vy)的一阶(1ω)与三阶(3ω)谐波电压,相位锁定为0°,采集 x分量(实部)。

环境控制:

实验在基温 T = 1.7 K下进行,磁场稳定性 ΔH/H < 0.01%,确保量子化平台的精确观测。


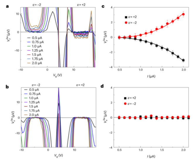
三阶非线性霍尔效应的观测

image.png 

量子霍尔态中三阶霍尔效应的电流三次方依赖性

横向电压的非零响应:

在填充因子 ν = ±2 的QHS中,横向三阶电压(Vy)呈现显著平台,平台高度与驱动电流的三次方严格成正比(Vy ∝ I³),而纵向三阶电压(Vy)始终为零

示例数据:当 I=2 μA时,Vy 平台值为 3.1±0.3 μV,验证非线性响应的本征特性。


环境鲁棒性与器件普适性

image.png 

磁场和温度对量子霍尔态三阶非线性响应的影响

磁场与温度稳定性:

非线性平台在磁场范围(H>5 T)和温度范围(T<80 K)内保持稳定

磁场方向反转(H=±9 T)导致 Vy 符号变化,但三次方依赖关系不变。

器件普适

不同基底(SiO₂、hBN)、几何形状(条形、圆形)和堆叠结构的石墨烯器件均观测到类似现象,验证效应的普适性


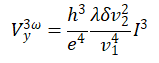
电子-电子相互作用的机制

边缘态手性输运:QHS的导电边缘态为一维手性通道,库仑相互作用通过能量色散曲率(E(k)=v1ℏk+v2(ℏk)2)诱导非线性电流-电压关系。

理论模型验证:基于相互作用强度(λ)和边缘粗糙度(δ)的理论公示:

image.png 

与实验数据高度吻合。理论模型表明,电子-电子相互作用通过边缘态的能量色散曲率驱动非线性响应

本研究首次在石墨烯的量子霍尔态中观察到了三阶非线性霍尔效应,其平台结构在广泛的温度、磁场和电流范围内保持稳定。这种非线性响应揭示了量子霍尔态电子-电子相互作用的新方面,为研究一维手性边缘态的电子特性提供了新的方法。


ECOPIA霍尔效应测试仪HMS-3000

image.png 

联系电话:400 992 6602

ECOPIA霍尔效应测试仪HMS-3000是一款专业用于半导体材料电学特性分析的高精度仪器。该仪器可精准测量载流子浓度迁移率电阻率及霍尔系数等关键参数,这些参数是表征半导体材料电学性能的核心指标。

 高精度恒流源(1nA~20mA),适应不同材料的测试需求

六级电流精细分级,最大限度降低误差,确保测量准确性

 低噪声测量技术:范德堡法则转换+非接触式设计,有效抑制仪器噪声,提升信号纯净度


ECOPIA霍尔效应测试仪HMS-3000的高灵敏度和稳定性为本研究提供了关键支持,其精准的谐波检测能力为探索拓扑物态的非线性响应树立了技术标杆。

原文参考:《How to Accurately Determine the Ohmic Contact Properties on n-Type 4H-SiC》

相关产品

×

名字 *

公司

职称

电子邮件 *

电话号码 *

城市 *

国家

请选择产品

我有兴趣接受有关以下内容的信息 *

我的留言

提交