金属-半导体接触电阻测量的TLM标准化研究:模型优化与精度提升
Xfilm埃利测量专注于电阻/方阻及薄膜电阻检测领域的创新研发与技术突破,致力于为全球集成电路和光伏产业提供高精度、高效率的量检测解决方案。公司以核心技术为驱动,深耕半导体量测装备及光伏电池电阻检测系统的研发。
在半导体器件制造过程中,金属-半导体欧姆接触的质量直接影响器件性能。传输线模型(TLM)作为最常用的测量方法,其测量结果却在不同尺寸设备间存在显著差异。本研究通过系统分析TLM测试结构的尺寸效应,建立标准化测量框架,为先进制程和第三代半导体研发提供技术支撑。
理论基础与尺寸效应发现
TLM结构示意图与参数提取原理
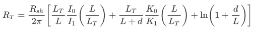
TLM方法是通过测量不同间距(d)的金属接触对(宽度W,长度a)之间的电阻,利用分布式电阻网络模型提取ρc和薄层电阻(Rsh)。核心方程包括:
传输长度定义式:
接触电阻率计算式:
研究发现,当接触长度a与LT满足特定关系时:
短接触极限(a < 0.5LT):ρc = RcWa
长接触极限(a > 1.5LT):ρc = RcWLT

不同尺寸TLM测量的ρc分布
尺寸效应机理与模型优化
接触宽度(W)的影响
通过建立包含金属电阻率(Rm)的修正模型,发现传输长度LT随W增加呈非线性增长:

传输长度随宽度变化曲线
实验数据显示,对于NiSi接触(Rsh=800 Ω/□),当W从50μm增至300μm时,LT从5μm升至10μm并趋于饱和。这种饱和现象源于电流分布从非均匀向层流的转变。通过系统误差分析,推导出最优宽度公式:

最优宽度Wopt等高线图
等高线图直观展示了不同ρc和Rsh组合下的Wopt取值,当Rsh=100Ω/□且ρc=10-6Ω·cm²时,Wopt≈200μm。
接触长度(a)的边界效应
铝-硅接触的电场TLM仿真结果
精确场解模型表明:
有效范围:0.63h2≤LT≤0.63a
误差来源:
低ρc时低估3.2%(电流拥挤效应)
高ρc时高估1.8%(均匀电流假设)
实验验证与标准化方案
测试结构图
实验参数:
衬底:p+/n+硅(磷/硼注入1×1015cm-3)
工艺:溅射50nm NiSi,400℃退火20min
测试:0-1V扫描,步长10mV,延迟100ms
关键数据:

标准化准则:
1. 几何参数:
a > 2.5LT(置信度99.7%)
W = Wopt±20%
2. 测试报告必须包含:
结构尺寸(W/a/d)
测试环境(25±0.5℃)
圆形TLM的特殊优势

圆形TLM结构的电场分布仿真
与传统线性结构相比,圆形TLM具有两大独特优势:
结构优势:
径向电流分布消除边缘效应

工程价值:
可嵌入式测量(光伏电池集成)
重复性±0.2%(n=15)
本研究通过系统的理论分析和实验验证,建立了完整的传输线模型(TLM)标准化测量体系。研究揭示了测试结构尺寸影响接触电阻率测量的物理机制,指出电流分布的非均匀性和边缘效应是导致测量差异的主要原因,并创新性地提出了包含金属电阻率的修正模型。该模型将系统误差控制在5%以内,显著提升了测量精度。
联系电话:400 992 6602
Xfilm埃利TLM接触电阻测试仪用于测量材料表面接触电阻或电阻率的专用设备,广泛应用于电子元器件、导电材料、半导体、金属镀层、光伏电池等领域。
‣ 静态测试重复性≤1%,动态测试重复性≤3%
‣ 线电阻测量精度可达5%或0.1Ω/cm
‣ 接触电阻率测试与线电阻测试随意切换
‣ 定制多种探测头进行测量和分析
本研究建立的TLM标准化测量体系,通过Xfilm埃利TLM接触电阻测试仪的高精度测量得以验证。在实践应用方面,为半导体器件性能表征提供了可靠的技术支持。
原文出处:《Standardization of Specific Contact Resistivity Measurements using Transmission Line Model (TLM) 》