400-992-6602
我们能帮您找到什么?

消除接触电阻的四探针改进方法:精确测量传感器薄膜方块电阻和电阻率

方块电阻薄膜材料核心特性之一,尤其在传感器设计中,不同条件下的方块电阻变化是感知测量的基础。薄膜材料与金属电极之间的接触电阻会显著影响测量精度,甚至导致非线性肖特基势垒的形成,进一步降低传感器性能。传统两端子测量方法因接触电阻难以控制或减小,导致系统误差不可忽视。

本文提出一种四探针改进的四端子方法,通过多次电阻测量和简单代数计算并结合Xfilm埃利四探针方块电阻测量验证,消除接触电阻的影响,实现精确测量不同材料薄膜在不同条件下的方块电阻和电阻率


改进四端原理

image.png 

(a) 测试系统示意图;(b) 测量R₂₃₊的等效电路图;(c) 准实时电阻测量的TDM电路示意图

改进的四端子方法通过在薄膜表面布置四个平行电极(电极1至4),测量任意两电极间的电阻值(如R₁₃⁺、R₂₃⁺等),结合电极间距(L₁₂、L₂₃等)和薄膜厚度(t)、宽度(W)参数,推导出薄膜材料的本征电阻。具体步骤如下:

等效电路分析:电极间总电阻包含薄膜本征电阻(如RL23)和接触电阻(Rc2、Rc3)。若存在肖特基势垒,还需考虑额外电压降(V₂、V₃)

消除接触电阻:通过测量不同极性下的电阻值(如R₂₃⁺和R₂₃⁻),发现接触电阻和肖特基电压降在计算中相互抵消,最终得到仅含本征电阻的表达式:

image.png 

计算方块电阻与电阻率:结合电极间距和薄膜几何参数,计算方块电阻(Rs23)和电阻率(ρ):

image.png 

该方法还可通过公式反推接触电阻值(Rc2、Rc3),为研究接触特性提供依据。


薄膜的制备

CB/PDMS 薄膜为例,通过超声分散和旋涂工艺制备不同炭黑含量(5-50 phr)的样品。采用镀锡铜线(欧姆接触)和铝箔(肖特基接触)作为电极,分别测试电阻 - 压力(0-60 kPa)和电阻 - 温度(20-100°C)特性。


方块电阻/电阻率测量

image.png 

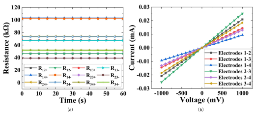
a)20 phr CB/PDMS电极连接的稳定性(b)不同电极间的I-V曲线

image.png 

(a) 本文方法与四探针电阻率仪测量的CB/PDMS电阻率对比;(b) 总接触电阻及其占R₂₃的比例

欧姆接触使用四根镀锡铜线作为电极,测量电极间电阻,结果显示,本文方法与四探针方块电阻的测量结果一致。20 phr 样品的电极间I-V曲线呈线性,接触电阻占总电阻的比例高达56.54%~99.49%,验证了消除接触电阻的必要性。

image.png 

铝电极1和4在10 phr CB/PDMS样品上的典型I-V曲线(显示肖特基接触特性)

肖特基接触:将电极材料替换为铝箔后,I-V曲线呈现非线性,验证肖特基势垒存在。但通过公式修正后,电阻率测量值(9.21×10⁻¹ Ω·m)与欧姆接触结果(9.63×10⁻¹ Ω·m)高度吻合误差<5%,证明方法对非线性接触的普适性。


压阻与热阻特性

压力敏感电阻测量

image.png 

电阻-压力测试系统示意图

 

image.png 

(a) 40 phr CB/PDMS样品的方块电阻-压力曲线;(b) 总接触电阻及其占比随压力的变化

40 phr CB/PDMS样品施加压力时,方块电阻与压力呈线性正相关(R²=0.930),而传统两端子法因接触电阻波动产生显著误差。

温度敏感电阻测量

image.png 

(a) 20 phr CB/PDMS样品的方块电阻-温度曲线;(b) 总接触电阻及其占比随温度的变化

20 phr样品在20~100°C范围内,方块电阻随温度升高线性下降R²>0.96),且接触电阻的突变未影响结果,凸显了方法的稳定性。


本文提出的四探针改进的四端子方法能够准确测量薄膜材料的方块电阻和电阻率,可集成至传感器中。该方法成功消除了接触电阻及肖特基势垒的影响,适用于多种材料和测试条件(如压力、温度)。实验表明,接触电阻在传统测量中占主导地位,而本文方法可将其完全消除,显著提升传感器精度。


Xfilm埃利四探针方阻仪

image.png 

联系电话:400 992 6602

Xfilm埃利四探针方阻仪用于测量薄层电阻(方阻)或电阻率,可以对最大230mm 样品进行快速、自动的扫描, 获得样品不同位置的方阻/电阻率分布信息。

超高测量范围,测量1mΩ~100MΩ

高精密测量,动态重复性可达0.2%

全自动多点扫描,多种预设方案亦可自定义调节

快速材料表征,可自动执行校正因子计算


通过与Xfilm埃利四探针方块电阻测量结果对比发现通过改进四端子方法测量相对误差<3%,验证了该方法的准确性和可靠性,为薄膜传感器的设计和优化提供了有力工具。

原文参考:A General Method to Accurately Measure the Thin-Film Sheet Resistance for Sensors

相关产品

×

名字 *

公司

职称

电子邮件 *

电话号码 *

城市 *

国家

请选择产品

我有兴趣接受有关以下内容的信息 *

我的留言

提交